森林生态系统具有复杂的环境异质性,而森林土壤碳氮空间格局受多种环境因子共同调控。
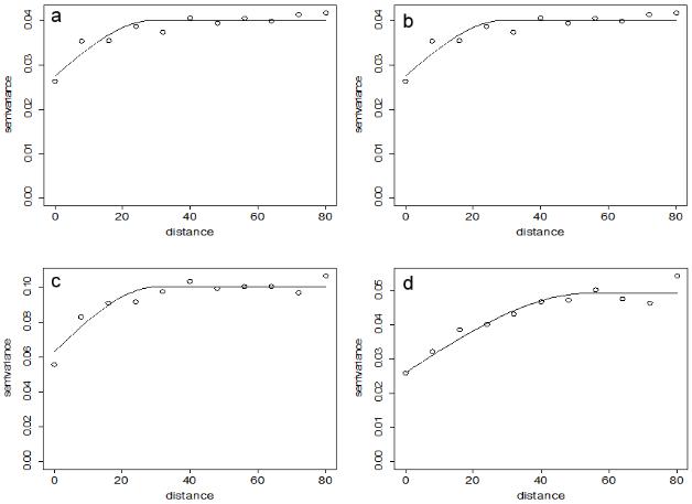
中国科学院武汉植物园博士生李乾玺在刘峰研究员的指导下,对湖南八大公山25公顷森林动态监测样地土壤进行大量采样,重点分析了研究区不同层次土壤碳氮的空间变异及其影响因素。半方差函数结果表明,表层土壤(0-10 cm)碳氮的空间变异程度高于亚表层土壤(10-30 cm),二者均表现出中等强度的空间自相关(C/C0+C=0.31-0.47)。
利用环境(土壤、植被、地形)和空间因子(PCNM)对土壤碳氮的空间变异进行方差分解,发现:环境与空间因子对表层土壤有机碳空间变异的解释力(47.8%)高于亚表层土壤有机碳(24.4%)。各环境因子的解释力由高到低依次为:土壤>植被>地形。其中,具有显著作用的土壤因子包括土壤pH,有效磷和土壤颗粒组成。各环境因子间具有强烈的交互作用。
该研究表明不同层次土壤碳氮空间格局形成的主导生态过程可能存在差异。较高的半方差块金值及较大比例的土壤碳氮空间变异未能被解释,表明微环境尺度的生态过程可能在中亚热带森林土壤碳氮的空间变异中发挥重要作用。
研究结果以“How environmental and vegetation factors affect spatial patternsof soil carbon and nitrogen in a subtropical mixed forestin Central China” 发表在Journal of Soils and Sediments 杂志上。
湖南八大公山25公顷样地土壤碳氮半方差函数图

土壤、植被和空间因子对土壤碳氮空间变异的解释度







