探究驱动物种分布的机制是生态学研究的基本目标之一。生态位理论认为物种分布主要由环境条件决定;而中性理论则认为环境条件并不重要,扩散限制和种群统计随机性可以驱动物种分布。现在普遍认为两种机制相互补充,因此评估两者是的相对贡献是当下生态学们关心的问题。方差分解法是目前比较有效的方法之一,它可以区分环境因子和与空间相关过程对物种分布方差的相对贡献。
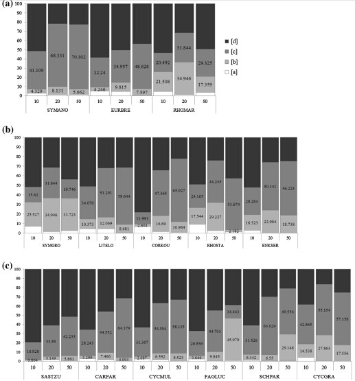
中国科学院武汉植物园博士研究生王庆刚在江明喜研究员的指导下,利用湖南八大公山25公顷样地第一次调查中14个优势物种的分布数据和以及样地地形数据(地形因子是一种重要的环境条件,它通过影响土壤、光照、水分等条件来影响物种分布),以Moran’s eigenvector map(此前学者通常称其为Principal Coordinates of Neighbor Matrices)代表空间因子,做方差分解分析。结果发现不同物种间存在较大差异:(1) 总体上,地形因子可以单独解释物种分布约2.1%的方差,空间因子可以单独解释约41.2%,地形因子和空间因子共同解释约13.8%,没有被解释的部分约占42.9%;(2)大部分物种在20m样方大小时地形解释率高于10m和50m,表明20m的样方可以较好的捕捉到物种在一个生境内的分布,而50m的样方内可能包含不同生境类型; 4个物种的空间单独解释率在20m样方大小时最大,可能与它们种子的近距离扩散有关;(3) 大部分情形下,地形解释部分以及空间因子单独解释部分,在物种包含的个体数最多那个的生活阶段(幼树、小树、成年树)最高,这反映了样本量效应。该物种水平上的研究是对此前群落水平上的研究有力补充,有助于更好的理解亚热带山地森林群落的构建,同时,该研究利用方差分解的方法提出了新的假设,为下一步工作提供了研究思路。
该研究得到国家自然科学基金(项目编号31070465和31200329)和中国科学院生物多样性委员会中国森林生物多样性监测网络项目(项目编号29200931131101919)的资助。相关研究结果发表在综合类期刊Chinese Science Bulletin (DOI:10.1007/s11434-014-0453-9) 上。
14 个物种在不同样方大小下方差分解的结果。(a)灌木;(b)林下层;(c)乔木
[a]地形单独解释率;[b]地形和空间共同解释率;[c]空间单独解释部分;[d]未解释部分







