土壤氮是影响陆地生态系统净初级生产力的关键因子。森林恢复作为土地利用变化的重要组成部分对土壤有机物质的输入和土壤氮有显著的影响,进而也会影响陆地生态系统生产力。然而,目前在森林恢复对土壤氮循环影响机制的研究中仍然存在争议。
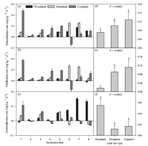
为研究土地利用变化对土壤氮循环的影响,武汉植物园系统生态学课题组硕士生李铭在程晓莉研究员的指导下,运用PVC顶盖埋管原位培养法等方法就丹江口水库地区土地利用变化(森林恢复)对土壤氮循环的影响机制进行了研究。研究结果表明,森林恢复显著降低了土壤氮矿化速率和土壤无机氮浓度,但是提高了铵态氮浓度。土壤无机氮的主要形式由农田中的硝态氮转变为了森林中的铵态氮。森林中土壤无机氮的这种变化在一定程度上能够降低土壤氮淋溶以及N2O的排放,从而能够有效的固持土壤氮。相关分析表明,土壤氮矿化和硝化对土壤含水量更敏感,并且与土壤含水量显著正相关。相反,土壤氮矿化和硝化与土壤有机碳和土壤碳氮比呈负相关关系。该研究不仅揭示出丹江口库区土壤氮动态对于森林恢复的响应机制,也为当地政府的植被恢复和库区水环境治理工作提供了可靠的科学依据和借鉴。
该研究得到了国家自然科学基金及中国科学院战略性先导专项的资助,相关研究成果发表在国际生态学期刊Agriculture, Ecosystems and Environment上。

不同土地利用类型对土壤氮矿化,硝化和氨化速率的影响分析图







