沿海拔梯度的环境变化已越来越多地用于评估各种生物和非生物因素对植物生理和生态策略的影响。植物可以通过产生次生代谢物来适应环境压力的变化,由于生物和非生物因素之间的相互作用可能会影响植物的防御策略,植物在海拔梯度上产生的代谢反应也可能是复杂的,植物如何分配不同的次生代谢物来应对海拔梯度上复杂多变的生物和非生物环境还不清楚。因此,了解植物如何沿海拔梯度调节多种类型的次生代谢产物对于阐明植物如何采用生理和生态策略来应对各种生物及非生物环境变化至关重要。
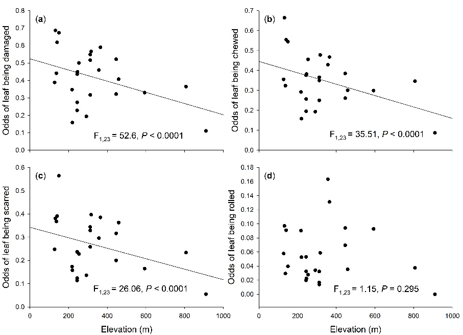
中国科学院武汉植物园博士生肖轹在丁建清研究员的指导下,沿海拔梯度对乌桕不同取食类型的植食性昆虫及其对乌桕叶片的危害率进行野外实地调查,并对健康叶片和虫害叶片中的次生代谢产物(单宁和黄酮类)进行了测定分析。研究结果表明,乌桕叶片被危害(咀嚼或潜叶式危害)的可能性随海拔的升高而减小。遭受虫害的叶片和未遭受虫害的健康叶片中黄酮类化合物的浓度随海拔梯度变化呈现相反的趋势:即随着海拔的升高,健康叶片中黄酮类化合物浓度增加,而遭受虫害叶片中黄酮类化合物浓度下降,其中槲皮苷对黄酮类化合物随海拔梯度变化的贡献最大。单宁浓度随海拔梯度的变化未发生显著变化,高海拔地区乌桕健康叶片中单宁与黄酮类化合物的比例与低海拔相比相对较低。我们的研究揭示了沿海拔梯度昆虫植食性以及不同植物次生代谢产物的变化趋势,并强调了在理解植物的生理和生态策略中同时考虑多种次生代谢物质的重要性。
本研究得到了国家重点研究发展计划(2017YFC1200100)、国家自然科学基金(31770414,31470447,31822007)的支持,相关研究成果以“Tallow tree allocates contrasting secondary chemicals in response to varying environments along elevational gradients”为题发表在国际SCI期刊“Journal of Plant Ecology”上。 武汉植物园为第一作者单位。
论文链接: https://academic.oup.com/jpe/article-abstract/13/3/295/5815324?redirectedFrom=fulltext
图1 不同类型昆虫危害沿海拔梯度的变化趋势。
图2 不同的植物次生代谢产物沿海拔梯度的变化趋势。







