根际碳氮循环是植物和土壤系统之间最活跃的土壤过程,其对环境变化极其敏感。研究大气CO2加富背景下根际碳氮耦合机制对准确预测陆地生态系统碳氮积累潜能具有至关重要的意义。土壤微生物是植被凋落物以及土壤有机碳的主要分解者,能够调节各种碳输入和输出的过程。土地利用变化影响了土壤微生物群落的结构组成,而微生物群落结构的改变又反过来影响了生态系统的过程和功能。了解土地利用变化对微生物群落结构的影响对了解全球碳循环过程的影响具有重要意义。
武汉植物园土壤生态学课题组程晓莉研究员与新西兰草地农业研究所合作,以新西兰牧场的长期(13年)FACE实验为对象,系统研究了新西兰牧场两种常见植物Agrostiscapillaris和Loliumperenne的根际碳氮循环过程。研究结果表明,大气CO2加富处理能促进L. perenne植物生长,但对A. capillaris植物生长具有抑制效应。大气CO2加富处理对两种植物根际的土壤有机碳,全氮,以及净的氮矿化和硝化速率均有显著的促进效应。然而,微生物碳对大气CO2加富处理的响应在两种植物根际内则不同,表现为在L. perenne植物根际增加而在A. capillaris植物根际减少,表明在大气CO2加富背景下A. capillaris植物根际更有利于土壤有机碳积累。另外,大气CO2加富处理对根际硝态氮影响不大,但显著增加A. capillaris植物根际的氨态氮。氨态氮浓度增加可能会在不久的将来刺激A. capillaris植物生长,导致新西兰牧场植物组成发生改变。本研究可以为当地政府在全球变化背景下开展合理的牧场管理工作提供可靠的科学依据和借鉴。
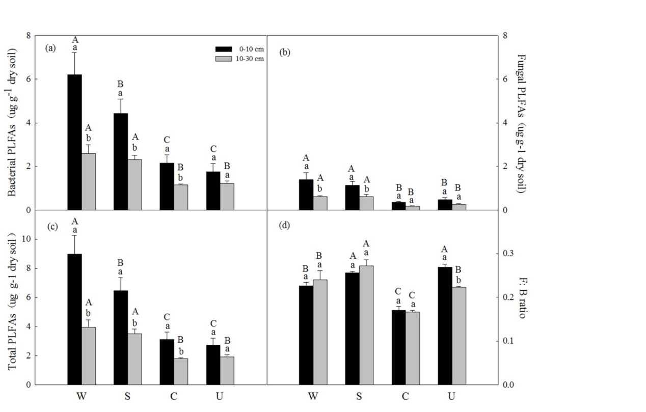
中国科学院武汉植物园博士生张倩在导师程晓莉研究员的指导下,研究了湖北省丹江口库区造林对土壤微生物群落结构以及微生物生物量的影响。结果发现造林地(森林和灌丛)的总磷脂脂肪酸量及细菌、真菌、革兰氏阳性菌、革兰氏阴性菌、放线菌、丛枝菌根真菌磷脂脂肪酸量高于农田和荒地,且不同土地利用类型中各微生物磷脂脂肪酸量大部分呈现表层高于深层的趋势。冗余分析和Pearson相关分析结果表明土壤微生物群落结构的变化与土壤含水量、pH、土壤温度和土壤有机碳以及有机氮化学分馏各组分(主要包括总有机碳、总有机氮、易变碳、易变氮、惰性碳和惰性氮)具有密切的关系。其中土壤总有机碳和易变碳与不同土地利用类型下土壤微生物群落结构组成呈不同显著相关。造林同时增加了土壤基础微生物呼吸,但是造林地每单位磷脂脂肪酸释放的二氧化碳含量却显著低于农田和荒地,表明造林地能够增加储存更多的二氧化碳于土壤有机碳库中。因此,从长远来看,研究土地利用变化对土壤碳储存以及减少二氧化碳的排放具有重要的意义。
本研究得到国家自然科学基金(31470557, 31270550, 31130010)和中科院战略先导专项B(XDB15010200)的资助,相关结果分别发表在Agriculture, Ecosystems and Environment和Scientific reports国际学术期刊上。

图1.大气CO2加富处理对植物生长和养分的影响
图2.不同土地利用方式土壤真菌、细菌和总磷脂脂肪酸量及真菌/细菌比(W表示森林;S表示灌丛;C表示农田;U表示荒地)







