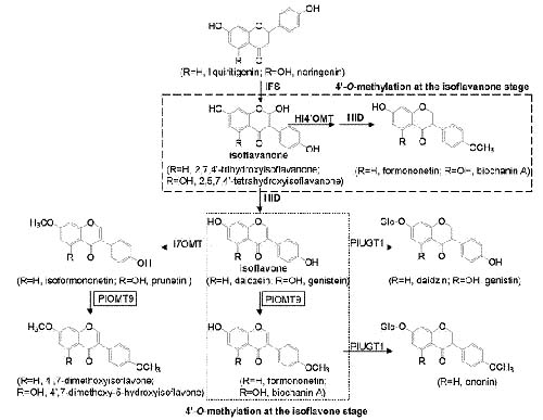
中国科学院植物种质创新与特色农业重点实验室天然药物生物合成学研究组科研人员黎佳和李长福在章焰生研究员的指导下,对野葛异黄酮物质甲基化修饰分子机理展开了研究,取得了以下进展: 1、发现了野葛异黄酮物质芒丙花素形成新路径,并分离了其中关键甲基转移酶基因,该基因被命名为PlOMT9,PlOMT9 利用大豆苷元为底物即能合成芒丙花素,颠覆了以往人们对芒丙花素合成路径的传统认识;2、解析了3’-甲氧基葛根素的形成机理,分离了其中催化3’-甲氧基化的基因,该基因被命名为PlOMT4, PlOMT4 的成功分离为生物合成3’-甲氧基葛根素提供了关键甲基转移酶基因. 以上所分离的基因为微生物合成这些化合物提供了必要的基因元件.以上研究得到国家自然科学基金(31300258,31170284)的支持,相关结果分别以“An Alternative Pathway for Formononetin Biosynthesis in Pueraria lobata”,和“Molecular Cloning and Functional Characterization of a Novel Isoflavone 3’-O-methyltransferase from Pueraria lobata”为题发表于国际学术期刊Frontiers in Plant Science。

野葛中推测的4’-O-甲基化修饰途径

野葛中推测的3’-甲氧基葛根素合成途径


