科研进展

重点实验室在土地利用变化对生态系统土壤碳氮循环影响机制研究中取得重要新进展
2012/10/11 | 来源:| 【字号: 】【打印】【关闭

  

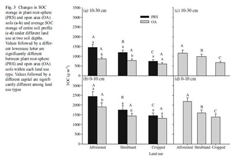
丹江口库区土地利用变化对土壤有机碳的影响数据分析图

  为了揭示土地利用变化对土壤碳氮循环的影响,重点实验室系统生态学学科组程晓莉研究员运用土壤分馏和碳氮稳定同位素方法(δ13C,δ15N)就丹江口库区森林,灌丛和农田生态系统等不同土地利用类型对土壤有机碳氮循环的影响机制进行了研究。该研究结果揭示,由于大量植物凋落物碳输入和土壤碳分解速率降低,森林和灌丛的植被恢复增加了土壤有机碳。土壤利用变化导致的植被改变影响土壤碳的质量和数量,并对生态系统的功能以及生态恢复产生重要影响。

  研究发现,近20年通过森林和灌丛的植被恢复,土壤有机碳的含量也随之显著增加,其中林地土壤有机碳含量最高。土壤有机碳的累积取决于植物凋落物碳输入的增加和土壤有机碳分解的降低。森林和灌丛增加了凋落物生物量的输入。农田、灌丛和林地土壤有机质的碳氮比(C:N)依次从低到高。林地和灌丛土壤中的不可分解有机碳的指数高于农田,而林地和灌丛土壤中的不可分解有机氮的指数低于农田,该研究结果表明林地和灌丛土壤有机碳相对农田土壤有机碳较难分解。碳氮稳定同位素(δ13C,δ15N)研究结果进一步表明农田土壤有机碳的分解速率最高。

  相关研究成果以“The impact of agricultural land use changes on soil organic carbon dynamics in the Danjiangkou Reservoir area of China”为题,在国际权威土壤学期刊Plant and soil在线发表(DOI 10.1007/s1 1104-012-1446-6)。

 

相关附件:

中国科学院水生植物与流域生态重点实验室 版权所有:中国科学院武汉植物园
技术支持:武汉植物园科技支撑中心 鄂ICP备05004779-1号 鄂公网安备42018502004676号